Back

积分到底是什么?图像面积?反导数?

我是环球U+的数学老师Max,今天我们来聊聊:积分(Integral)到底是什么?同学们到这了一块就开始懵了:到底它是图像下面的面积?还是导数的反操作?还是一个累加的概念?其实答案是:它都是。

 

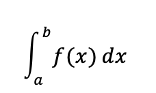
第一种理解:积分是图像下面的面积(area under the curve)

比如这个表达式:

它就表示从 x=a 到 x=b,这段函数图像下的面积是多少。


所以你可以把积分想成是在“量area”,正的面积加进去,负的面积扣掉。

 

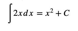
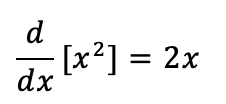
第二种理解:积分是导数的反操作(antiderivative)

比如你知道:

那反过来,积分 2x,就会得到 x²(再加一个常数 C)。

这个就是:

也就是说,导数是拆结构,积分是拼回去。

 

第三种理解:积分是累积变化(accumulated change)

积分其实在帮你把“很多很多很小的量”加起来。比如:

指的是从x=a到x=b 这段,我们f(x)到底变化了多少量?

那么这个部分在应用题的延伸非常多,像速度的积分是路程的变化、变化率的积分是量的变化等等,也能用积分来算。

所以你记得这一句就够了:

Derivative tells you how fast something is changing

Integral tells you how much it has changed in total

下一集我们讲讲积分题里最容易犯的3个错误,很多同学都中招过!

 

Share and Enjoy !

相关文章

我们来聊聊Calculus 12里最重要也最有“哲学感”的东西:导数(Derivative)
对数函数听起来很抽象,但其实和我们的生活、科技、甚至生物系统都有关系
今天来讲一个考试最爱出、生活中也真能遇到的题型:Quadratic Word Problems,也就是二次函数应用题