我是环球U+的数学老师 Max,今天是AP Calculus BC难点系列的最后一集,泰勒级数(Taylor Series)到底是啥?为啥看起来这么复杂?
简单说,Taylor Series是一种方法,用一堆多项式去逼近一个函数。有点像之前学的tangent line approximation,但是后面多了更精确的近似项。
比如说:
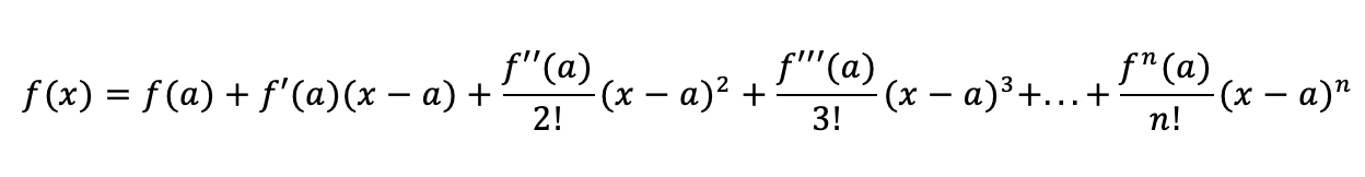
像是 eˣ 、sin x、ln(1 + x) 图像很弯绕,我们如果想算函数值y的时候 直接代x value进去好像有点难算,那么我们可以用泰勒级数,把它们拆成一长串很规则的近似,n越大可以理解成越多项越精确,就像这样:

这个 a 是展开点(center),一般会考你以 a = 0 展开,也叫 Maclaurin Series。
那为什么要用 Taylor Series?
✔️ 它可以让我们在复杂函数附近,用简单的多项式来估值
✔️ 计算器无法处理的时候,Taylor 是最强手动近似工具
✔️ AP 考试会考你展开前几项、判断收敛convergence、误差估计(error bound)
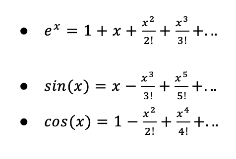
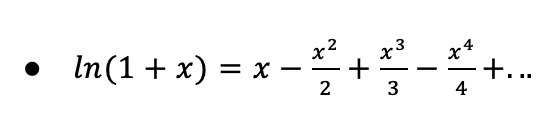
几个要会背的常见Maclaurin Series about(a = 0)时候的泰勒展开如下:


注意这些式子都有条件限制,比如收敛区间 |x| < 1等,考试会考你判断它们的validity。
总结一下:
Taylor Series = 把函数翻译成无限多项式
越往后加的项越小,越能逼近原函数。
我是 Max,这就是我们 AP 微积分 BC 难点系列的最后一集。

