我是环球U+的数学老师 Max,今天我们继续讲AP Calculus BC的难点系列,来看看极坐标(Polar Coordinates)到底怎么用?
我们平时最熟的是直角坐标系(x,y),但极坐标用的是:(r,θ),其中r是点到原点的距离,θ是这个点跟x正半轴之间的夹角。所以你可以理解成:不说“x走多少格、y走多少格”,而是说“和x正半轴成什么角度、走多远”。
举个例子:
r = 2 是一个圆
r = θ 是一个螺旋线(spiral)
r = 2 + 2sinθ 是一个心形图案(cardioid)
这些图像,在 x-y 坐标系里是画不出来的。我们有兴趣的同学可以在desmos上面画一下
那考试常考什么?
① 图像辨识(你要会看出图像对应哪个式子)
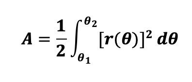
② 面积公式:

注意是 r²,不是 r
上下限是角度,不是 x
③ 坐标转换:
有时会要求你从极坐标换到直角坐标,在找某个点的斜率dy/dx的转换,我们要记住:
x = r cosθ,y = r sinθ
一句话总结:极坐标是“从方向出发”去描述图像, 很多复杂图形只有用它才能看清楚。
下一集我们讲最后一个 BC 难点:泰勒级数到底是干嘛的?为什么要用一堆多项式去逼近函数?

