Back

什么是参数方程?为什么要用t来表示x和y

我是环球U+的数学老师 Max,今天我们来讲讲AP Calculus BC的第一个难点:参数方程(Parametric Equations)到底是什么?为什么要引入一个t?

简单来说,参数方程的形式是:

x = f(t),y = g(t)

也就是说,x 和 y 不再直接有关系,而是都由第三个变量 t 控制。

这个 t 往往代表时间(time),所以Parametric Equations非常适合描述运动轨迹(motion)。

举个例子:

假设一个粒子particle在平面上运动,它在第 t 秒的位置是:

x = t²,y = 2t + 1

你会发现,不能直接写成 y = f(x),但它的路径依然存在,只是我们要通过 t 来看它是怎么走的。

那考试会考你什么?最常见的考点有三个:

1. 斜率 dy/dx 怎么求?

先分别求 dy/dt 和 dx/dt,然后套公式:

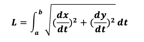
2. 路径长度(arc length)怎么算?

就是pythagorean’s theorem,斜边长度积分

3. 面积怎么求?

尤其是围成封闭图形的面积,要特别小心题干给的是 x(t) 还是 y(t)


一句话总结:Parametric equations是“换个角度”在描述路径。

下一集我们来讲 BC 的第二个难点:极坐标(Polar Coordinates)到底怎么读图?面积怎么算?

 

Share and Enjoy !

相关文章

我们来聊聊Calculus 12里最重要也最有“哲学感”的东西:导数(Derivative)
对数函数听起来很抽象,但其实和我们的生活、科技、甚至生物系统都有关系
今天来讲一个考试最爱出、生活中也真能遇到的题型:Quadratic Word Problems,也就是二次函数应用题