我是环球U+的数学老师Max,今天是AP微积分系列的第一集,我们来讲讲:
极限(limit)到底是什么?它为什么这么重要?
很多学生第一次学极限的时候,脑袋里只有一句话:
“x 趋近于某个值时,f(x) 的value会接近什么”——但到底 接近 算不算等于?
其实极限考的不是“等于”,而是“越来越靠近”这个概念
举个例子我想大家会更容易懂:
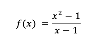
你看这个函数:

当 x = 1 的时候,代进去会变成 0/0,这时候你会以为没法算了。
但我们如果不直接plug in x=1,而是往 x=1 靠近,比如 x = 0.9, 0.99, 0.999,一直往右靠;
再试试 x = 1.1, 1.01, 1.001,从左边靠过去。
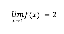
如果我们代进计算器算的话,你会发现 f(x) 的值越来越接近 2。
这时候我们就说:

尽管 f(1) 本身没有定义,但它的极限存在! 所以limit是微积分的起点:
它告诉我们function在一个点附近发生了什么,即使这个点本身不存在也没关系。 后面的“导数”、“连续性”、“积分”都要靠它来搭桥。 下一集我们就来讲讲导数derivative的真正含义:它不仅仅是一堆公式,而是“变化的语言”!

