一分钟搞懂六种基本求导法则,AP微积分必会!我是环球U+的数学老师 Max,今天我们来讲讲六种最常用的求导法则,基本上你只要掌握这六个,AP考试里80%的题都能拆解掉。
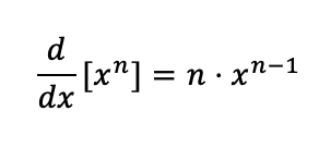
① Power Rule(幂函数法则)

意思是:指数往前放一遍,然后指数减1
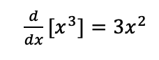
比如:

这个最常用,考场出现频率极高!而且指数不限于整数,所以还会涉及到其他的rational and radical simplifications
② Constant Rule(常数法则)
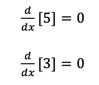
d/dx of a constant = 0
一个常数的导数永远是 0 比如:

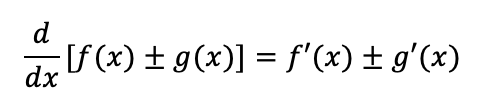
③ Sum & Difference Rule(加减法则)

就是说:加减的函数,可以分别求导再加减
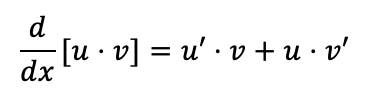
④ Product Rule(乘法法则)

口诀是:“前导后不导 加上 后导前不导”
为什么用uv呢,因为uv可以是复合函数形式,比如 u = x², v = sin x,我们也是按照这个方法,一定要考虑chain rule
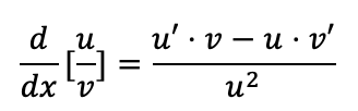
⑤ Quotient Rule(除法法则)

口诀记住是:“上导下不导 减 上不导下导,除以下的平方”
同样要注意chain rule
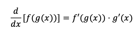
⑥ Chain Rule(链式法则)

简单说:先对外层求导,记住了在此之中,内函数保持不变,然后我们再乘内层的导数,就像剥洋葱一样。
比如:

链式法则在所有复合函数中都会用到,非常关键!
这六个法则就是你的导数工具箱,剩下的就是各种类型的函数 他们都有自己的公式,考场上看到一大串表达式,我们不要慌,先看大结构,然后就能立刻套用公式就好了。
下一集我们来讲讲最大值最小值问题到底怎么找,用导数怎么判断。

